5600万年前,由于巨量的碳排放,地球上发生了一次变暖事件,全球平均温度快速升高了约5℃,标志着地球气候系统从暖室状态向热室状态的根本性转变。其间,还发生了一系列重大地质事件,如大洋酸化、海洋脱氧、底栖有孔虫灭绝、陆地上哺乳动物快速演化和普遍侏儒化。这次事件被称为古新世-始新世极热事件(PETM)。作为当今全球变化的最佳参考案例之一,这次事件一直是国际学术界的关注焦点。

古新世-始新世极热事件复原图(Kump, 2011)
若要查明这次极热事件的时空演化规律,高分辨率的年代地层框架必不可少。腐漫画
李明松研究员等人利用大西洋中部沿海平原上的钻井资料,开展了客观的天文年代学、地球化学和地球系统模拟综合研究。
结果表明这次极热事件在不到6000年的时间就发展到了顶峰。以往的研究假定这次极热事件耗时2万年才达到了顶峰,据此估算的碳排放速率为每年6亿吨碳。本次研究结果将使得碳排放速率的估计值翻倍。尽管如此,引发PETM事件的碳排放,其速率也仅仅为当下人为碳排放速率(每年约100亿吨碳)的十分之一。因此,人类活动导致的碳排放规模空前,若不加控制的话,其对环境和生态的影响可能更甚于PETM事件。

古新世-始新世极热事件的沉积记录。在全球,这次事件前(中下部)和事件后(上部)的沉积记录截然不同,反映了地球表层系统状态的突变
具体说来,这次极热事件的精细年代结构仍然存在争议。主要原因在于缺乏优良的研究材料和客观的天文年代学分析手段。已有的天文年代学研究往往来自深海钻井资料,沉积速率较低、且容易受沉积速率扰动影响,如大洋酸化和生物扰动等;分析手段方面则主要依赖传统的旋回地层分析方法,主观性强。
本次研究选择的工作区记录PETM事件的沉积地层较厚,可达5-15米,沉积速率是深海沉积的十倍以上;团队对获得的百余米岩心进行了高分辨率的元素和岩石物理性质扫描,历时2个月,获得了一批高质量的古气候替代指标,如钙含量和磁化率等。

钻井位置图(红色五角星所示)
利用这些数据,基于米兰科维奇提出的气候变化的天文理论,研究团队采用多种客观的沉积速率可视化方法,识别出了沉积记录中的天文轨道周期,完成了从地层深度到地质时间的转换,获得了高可靠的天文年代标尺。

古新世-始新世极热事件的天文年代标尺,红色区域代表了该事件启动期的跨度
这一年龄可以帮助我们解读这次极热事件的触发机制。
前人提出的触发因素包括北大西洋火山岩省有关的火山活动,天然气水合物的碳释放,轨道变化控制的碳埋藏和碳排放,小行星撞击等。这一研究获得的年代结果与小行星撞击说并不相容。天文年代分析数据和地球系统模型均表明,这次极热事件发生在地球轨道偏心率的最大值时期,表明天文驱动力在触发该事件中也发挥了重要的作用。不仅如此,在这次极热事件之后,地球还发生了多次极热事件,往往与地球轨道偏心率周期的峰值存在时间上的相关性。
该研究还为这次极热事件中的一些科学问题提供了思路。
首先,高温环境被认为更容易发生强降雨和强剥蚀,这一过程与强烈的硅酸盐化学风化和有机碳的快速埋藏共同驱动了PETM事件的恢复。这一假说的支撑证据之一,就是以研究区为代表的沉积盆地的沉积速率“成倍增长”。然而,本研究中沉积速率可视化的结果表明,大西洋中部沿海平原上的沉积速率变化并不显著。因此,全球变暖导致的古水文变化比预期的要更为复杂。
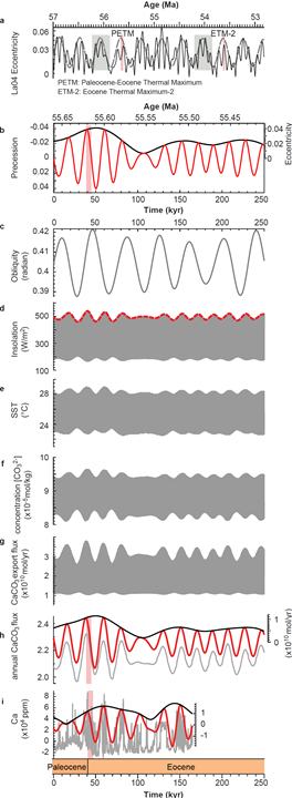
其次,地球系统瞬变模拟实验重现了沉积物中钙含量数据的天文周期信号,模拟结果与实际沉积记录可以对比,为研究深时气候变化的天文驱动研究提供了思路。
第三,由于二氧化碳的溶解,全球发生了明显的大洋酸化事件。本次研究涉及的浅海沉积记录表明,钙含量在PETM事件之初降低,在PETM恢复期升高,支持了PETM初期的全球海洋酸化波及到了浅海陆架地区,在PETM事件的恢复期出现了碳酸盐过饱和的现象。

地球系统模拟与数据对比表明天文驱动力在触发古新世-始新世极热事件中发挥了作用
该论文近期发表在国际知名杂志Nature Communications上,第一和通讯作者为腐漫画
腐漫画
研究员李明松。论文的合作者包括宾州州立大学的Timothy Bralower和Lee Kump,美国地质调查局的Jean Self-Trail和Marci Robinson以及加州大学圣克鲁兹分校的 James Zachos和William Rush。
项目得到国家重点研发计划、美国海辛-西蒙斯基金会、国家自然科学基金、腐漫画
中央高校基本科研业务费等资助。
论文信息:
Li, M., Bralower, T.J., Kump, L.R., Self-Trail, J.M., Zachos, J.C., Rush, W.D., Robinson, M.M., 2022. Astrochronology of the Paleocene-Eocene Thermal Maximum on the Atlantic Coastal Plain. Nature Communications 13, 5618. //doi.org/10.1038/s41467-022-33390-x